激光发射功率是测试激光安全和性能的一个重要参数。
深圳谈球吧检验小编将在本文谈球吧大家介绍激光发射功率的相关知识。
一、激光发射功率定义:
激光发射功率是指激光器在一定时间内发射出去的光能量的大小,通常以瓦特(Watt)为单位。它反映了激光器产生和输出光能的能力,是衡量激光器性能的一项重要参数。激光发射功率决定了激光束对目标材料的加工效果、传输距离、对生物组织的生物效应等,直接影响着激光在各个领域的应用效果和安全性。
二、激光发射功率的计算方式:
激光发射功率可以通过以下公式计算:


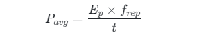
对于连续波(CW)激光器,激光发射功率是恒定的,可以直接测量或由激光器规格书中给出。对于脉冲激光器,由于其输出是间歇性的,激光发射功率通常以峰值功率(单个脉冲的最大功率)和平均功率(所有脉冲能量在一定时间内的平均功率)两种形式表示。峰值功率计算同上,而平均功率则需要考虑脉冲重复频率(脉冲间隔)和单个脉冲的能量:


三、激光发射功率检测方法:
检测激光发射功率通常需要专业的激光功率计。根据激光的类型(连续波或脉冲)、波长、功率等级等因素,选择合适的功率测量方法和设备。常用的激光发射功率检测方法包括:
热释电探测器法:适用于连续波和低重复率脉冲激光,通过热释电探测器将接收到的激光能量转换为电信号,经放大、积分后得到功率值。
光电二极管法:适用于低功率连续波激光和某些特定波长的脉冲激光,利用光电二极管将光信号直接转换为电信号,通过电流表或示波器读取功率值。
热电堆探测器法:适用于高功率连续波和脉冲激光,热电堆能承受较大功率且响应速度快,通过热电堆将吸收的激光能量转化为温差电动势,经测量电路转换为功率读数。
积分球法:特别适用于测量大面积、不均匀或多方向输出的激光功率,激光束入射到内壁涂有高反射率材料的积分球内,球内光子多次反射后均匀分布,通过球内放置的探测器测量总光能量,从而计算功率。
四、激光发射功率安全等级介绍:
激光安全等级是根据激光对眼睛和皮肤可能造成的生物效应来划分的,由国际电工委员会(IEC)制定的IEC 60825系列标准(或等同的国家标准,如ANSI Z136系列标准)进行规定。激光安全等级通常分为1至4共四个等级,以及附加的1M、2M、3R和3B等级,数字越大,表示激光潜在的危害越大。
激光发射功率是决定安全等级的重要因素之一,但并非唯一因素,还应考虑激光波长、光束直径、脉冲特性等因素。
1类和1M类:低功率激光,对眼睛和皮肤几乎无伤害风险。例如,某些激光指示器、教学激光笔等。
2类和2M类:中低功率激光,对眼睛有短暂的视觉干扰风险,但不会造成持续伤害。例如,某些CD/DVD播放器的激光头、部分工业检测激光等。
3R类:较高功率脉冲激光,对眼睛有短期致盲风险,但不会造成永久性损伤。如某些激光测距仪、低功率激光美容设备等。
3B类和4类:高功率激光,对眼睛和皮肤有严重甚至永久性伤害风险。这类激光主要用于科研、工业加工、军事等领域,使用时必须严格遵守安全操作规程,使用适当的个人防护设备。
根据以上内容可以看出,在选择和使用激光设备时,我们必须了解其发射功率及对应的激光安全等级,遵循相关安全操作规程,确保人员和环境的安全。
五、深圳谈球吧检验,专业激光检测认证机构
深圳谈球吧检验拥有专业的检测团队和先进的检测设备,能够按照国内外相关标准和法规,对激光产品进行全面、准确的检测。
作为一家专业的激光检测认证机构,我们致力于为全球客户提供精准、高效、全面的激光产品检测和认证服务。
我们的团队由一群经验丰富的工程师和专业技术人员组成,他们对激光技术的深刻理解和丰富的实践经验,确保了我们能够满足客户在不同领域和应用中对激光设备性能的高标准要求。
· 专业技术团队:我们的工程师和技术人员拥有深厚的激光行业背景,能够针对各种激光设备进行专业的性能评估和安全检测。
· 先进检测设备:我们配备了国际先进的检测设备和仪器,确保检测结果的准确性和权威性。
· 全面认证服务:我们提供包括但不限于CE、FDA、FCC、RoHS等国际认证服务,帮助客户的产品顺利进入全球市场。
· 定制化解决方案:针对客户的特定需求,我们能够提供定制化的检测方案和改进建议,帮助客户优化产品设计和提升产品性能。
· 快速响应机制:我们理解时间对于企业的重要性,因此我们致力于提供快速、高效的检测服务,确保客户能够及时获得检测结果和认证证书。
· 激光安全评估:对激光产品的安全性进行全面评估,确保其符合国际安全标准。
· 性能测试:对激光设备的输出功率、波长稳定性、光束质量等关键性能指标进行测试。
· 环境适应性检测:模拟各种环境条件,评估激光设备在不同环境下的性能表现。
· 寿命测试:通过加速老化测试等方法,预测激光产品的使用寿命和可靠性。
· 软件和控制系统评估:对激光设备的软件和控制系统进行评估,确保其稳定性和易用性。
我们承诺,通过我们的专业服务,帮助客户确保其激光产品的性能卓越、安全可靠,同时满足国际市场的法规要求。我们的目标是成为您值得信赖的合作伙伴,共同推动激光技术的发展和应用。
扩展阅读:国际激光安全IEC 60825_激光设备检测_深圳谈球吧检验 (ctnt-cert.com)
返回顶部